新房

筛选
当前位置:东莞房地产网  > 楼市聚焦 > 国内楼市
分享到
微信扫码分享
房掌柜小程序端

房掌柜小程序端

点赞(0)
收藏

对话石家庄2018年终系列报道之土地篇:怀敬畏之心活下去

来源:房掌柜  杨艳 东莞房掌柜  2019-01-06 09:55:59
[摘要]2018年,在“房住不炒”的总基调下,房价停滞不前,房企举步维艰,连业内老大哥万科都喊出了“活下去”的口号,让身处其中的人们,不禁感受到了畏惧。

2018年,在“房住不炒”的总基调下,房价停滞不前,房企举步维艰,连业内老大哥万科都喊出了“活下去”的口号,让身处其中的人们,不禁感受到了畏惧。

而随着楼市的调控深入,土地市场也呈现出了“楼市冰冻”的后遗症,虽然全市全年成交地块179宗,较2017年的165宗成交微涨,但到了下半年,地块的流拍、停拍频频出现,让人对房地产市场的明天不禁产生了疑问,底已经到了吗?最坏的日子会过去吗?

回顾过去或许并不能给我们答案,但也许能从中找到蛛丝马迹,让我们对明天充满希望,毕竟,2019已经来临,一切都还在继续!

下面就进入房掌柜2018年楼市报告土地篇:

关键词一:抢地大战

本年度的抢地大战可以由两个词概括:“最精彩”和“最莫名奇妙”!

2018年2月8日,主城区6宗地块出让,其中[2017]046号和[2017]047号地块为净地,引得多家房企到场抢地,中海、荣盛、万科、美的、世贸、安联、金茂、金地、金融街、中冶、保利、世通东亚等12家房企参与两宗地块竞拍,现场场面十分紧张。

开始竞拍后,[2017]046号地块经过数轮竞价,荣盛报价145000万元封顶,到达限价,进入“竞自持面积”环节,经过现场频繁举牌。最终由荣盛以56000平米的自持面积竞得046号地块。

[2017]047号地块的竞拍过程如出一辙,经过激烈争抢,最终由荣盛以48000万元自持面积19000平米竞得该地块。

这两宗地块的竞拍现场,绝对是2018年度最精彩土拍现场,参与房企数量,竞价频繁程度以及最终地价,都可以称为本年度之最。

[2017]046号和[2017]047号地块是二环里不可多得的净地,出现如此的争抢,尚可理解。可是,本年度还有一宗最为莫名奇妙的争地,那就是〔2018〕053号地块。

2018年9月18日,一宗不起眼的商服地块〔2018〕053有3家竞买人报价,进入竞拍环节,经过七八轮的激烈争夺,令人震惊的事情发生了:7.49亩的地块竟然从起始价3190万元抬高至3亿元,短短几分钟时间,一块亩价为425.9万元迅速涨至4005.3万元,溢价率高达840%。最终,地块被石家庄高新区方亿投资有限公司以3亿元竞得。

据房掌柜了解,即使当下价格最高的住宅用地,每亩价格也仅在1600万左右,商业地块更是远低于此。

经过多方了解,该地块可能涉及债务纠纷或者内部政策,但具体实情如何,一直没有官方回复,由此,〔2018〕053可以当选本年度“最莫名奇妙地块”。

ChCE4Fp9O8aIMYKhAAE1KU3gsOIAA_BPwL3EgwAATVB057.jpg

关键词二:主城区补证潮

2018年12月18日,[2018]068、[2018]069、[2018]087三宗地块出让,其中[2018]068、[2018]069是曾经流拍过的“永邦天汇”项目地块,[2018]087为翰林观天下地块,最终,三宗地块全部成功出让。

像这样的场景,在2018年,重复过很多次。

据统计,全年市内五区出让地块多达75宗,并且补证地块居多,约47宗,占比达62.67%。一些古早的遗留项目,如永邦天汇,公园城等,都补证成功。

这些遗留问题的逐步解决,对已购房的人们,可以说是天大的好消息,因为这些问题项目终于有了转好的迹象,也从一个侧面反映出,石家庄的房地产市场将摒弃之前长达十年的“问题累赘”,逐步走向完全正规。

以下为市内五区出让地块详情:

关键词三:品牌房企拿地

从上面市内五区的出让地块详情可以看出一个现象,那就是品牌房企的出现非常频繁。

虽然,2018年的房地产市场一直比较冷清,除了新兴花语原乡、万科新都会等几个有限的大热盘掀起了一阵波澜,其余项目都是默默的在销售,但是,对于在石家庄尚没有项目的品牌房企来说,这还是他们一座想进来的城。

对于已经布局多个项目的万科、保利、中冶、荣盛、融创等房企,石家庄已经十分熟悉,下面主要来看一些较为陌生的面孔。

2018年11月7日的正定土拍现场,北京金地惠达房地产开发有限公司(金地地产)以5.7亿元的价格竞得[2018]018号地块,此前的多场土拍中,金地地产都曾出现,但一直未有收获,此次终于摘得地块,如愿进驻石家庄市场。

同场的土拍当中,[2018]015号地块被北京润置商业运营管理有限公司以8.33亿元的价格竞得,华润地产自万象城之后,再次落子石家庄。

2018年11月28日,栾城区出让2018-26、2018-27、2018-29三宗地块,最终,3宗地块由石家庄永森地产房地产开发有限公司竞得,成交价合计3.8555亿。该地块原为南华城项目,5月份南华城房地产开发有限公司两位自然人股东将其手中的100%的持股比例出质给永威置业北京有限公司,而石家庄永森房地产开发有限公司即为永威置业石家庄有限公司持股子公司。由此可以预测,南华城项目或将成为永威置业布局石门后的首个项目,二期将重新拟定案名,建设永威高端系产品。

除此以外,中电、朗诗、世茂等品牌房企也选择了石家庄这座城市。或许,越来越多的品牌房企布局石家庄,能说明一点,这个城市有它的吸引力,不会就此冷下去。

关键词四:流拍、停拍成常态

在2018年的上半年,土拍中的流拍情况,就已初现端倪,上半年挂牌地块中,停止出让共计5宗,包括市区4宗,栾城区1宗;流拍7宗。

而进入下半年,土地流拍、停拍现象,似乎已成为石家庄土拍现场的常态。

据统计,未进入土拍现场就停拍的现象,在下半年就出现6次,涉及14宗地块,其中正国土资[2018]02号和正国土资[2018]03号地块曾遭遇二次停拍,并且至今尚未成交。

进入土拍现场的地块,也并不意味着就能顺利成交,低于底价而流拍的现象,甚至已经覆盖到补证地块,仅下半年,就有多达14宗地块曾在土拍现场流拍,荣盛城、永邦天汇等知名项目,都曾遭遇流拍。虽然这些地块中的大多数后期又经历了再次挂牌成交,但是成交价格已经远高于起始价。

纵观2018全年,虽然流拍、停拍地块频繁迅速再挂牌入市,但依然有12宗地块停拍或终止出让,14宗地块流拍。

以下为流拍、停拍地块详情:

liupai.png

关键词五:底价?难猜!

在曾经的土拍现场,补证地块几乎是无悬念的成交,成交价格一般就是挂牌时的起始价,而到了今年,这种起始价成交的现象,似乎已经成为了过去式。

8月17日,栾城区[2018]039号地块公开出让,出让面积172516.357平方米,约258.77亩,该地块位于东至昆仑大街、西至冲江路、南至仓盛东路、北至冲江路起始价118700万元(11.87亿)。出让现场,保利,金地,中铁,河北万腾,北京金茂等多家房企参与竞拍,经过多轮竞价,最高出价为中铁24.8亿元,溢价率近109%,但仍未达到该地块底价,最终[2018]039号地块流拍。

时隔两个多月后,即12月26日,该地块再次因故停牌,据知情人士透露,此次停牌的主要原因为竞买人数未达竞拍要求。

种种迹象显示:在部分区域的地块拍卖中,政府与房企预期出现了较大分歧,多方博弈下,难免出现多次流拍或停牌的现象。而在部分区域价值还未被挖掘之前,房企拿地动力明显不足。

10月9日,十月的第一场土拍中,出让6宗地块均位于主城区,涉及华府国际、陶龙家园、西美五洲天地等多个补证项目,最终,仅2宗地块成功出让,西美五洲天地、华府国际等4宗地块均因报价低于底价而流拍。

时隔两日后的10月11日下午,主城区再次出让3宗地块,仅一宗成交,水印城、荣盛城地块流拍。

这两场密集的补证流拍,让补证地块无悬念起始价成交的情况,彻底成为过去式,所有想拿地的开发商,即使是补证项目,在后续地块的报价上,都要经过深思熟虑。

猜底价,成为了所有拿地开发商必做的功课之一。

小记:

虽然,2018土拍地块流拍、停拍频现,但当下楼市调控的逻辑已发生根本变化,房地产行业的老模式也正在面临转变,谁能就说,这不会成为土地市场今后长期存在的新常态呢?

正如,曾经的遗留问题已经解决,曾经的底价成交难再现,曾经的房企在被新的品牌替代,历史的车轮在一直前进,旧的终将被新的替代,只要熬过去,活下去,就能看到更好的明天!

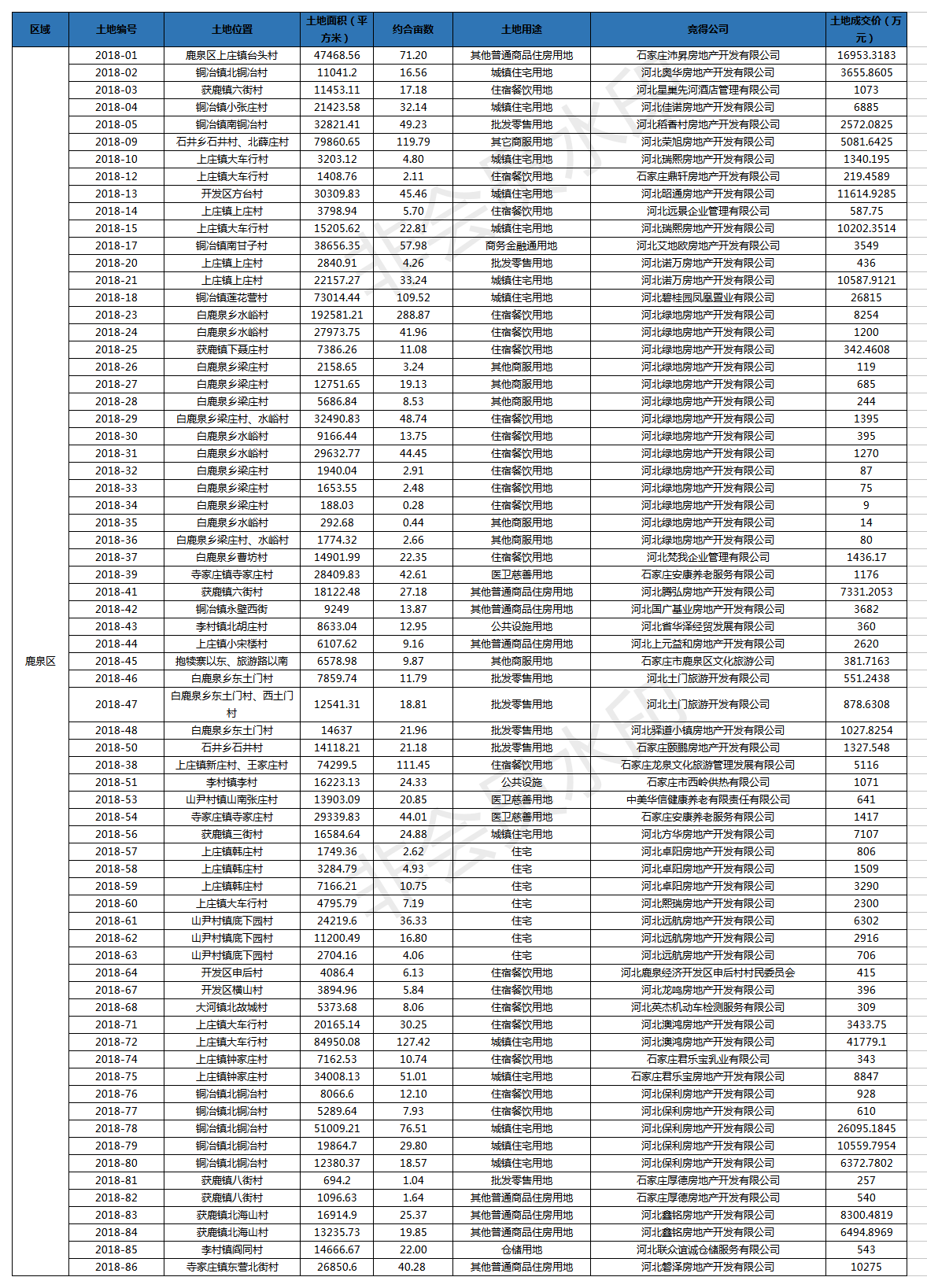
以下为其余区域成交情况:

分享到:
责任编辑:陈艳云

转载或内容合作请点击转载说明,违规转载法律必究。
楼市爆料寻求报道,请点击这里
文章内容仅供参考,不构成投资建议,也不代表房掌柜赞同其观点。

新闻排行

新闻推荐

  1. 1国有大行集体表态:化解房地产风险
  2. 2东莞城区笋盘大盘点!2.5万套选1套 不能随意
  3. 3广深高速改扩建项目将实施 广州-东莞段由广深珠公司负责
  4. 4广东:9月个人房贷新增344.82亿 扭转前两月负增长态势
  5. 5央行行长潘功胜:稳妥化解大型房企债券违约风险
  6. 69月一线城市新建商品住宅价格同比涨幅扩大
  7. 7【每日网签】东莞住宅10.16成交住宅141套,面积16004.8㎡
  8. 8多地土拍规则调整不再设置上限价格 取消土地限价会成趋势?
  9. 9碧桂园创始人杨国强露面 前往顺德北滘南平路项目工地调研
  10. 10超大特大城市城中村改造分三类实施 已入库162个项目

楼盘推荐

视频推荐